Москва, Карамышевская набережная, 2а, ТЦ Утёсов пн-пт 9:00-19:00, сб-вс 10:00-16:00 8 800 500 74 09 (бесплатно)
Каталог

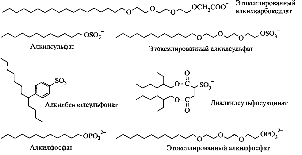
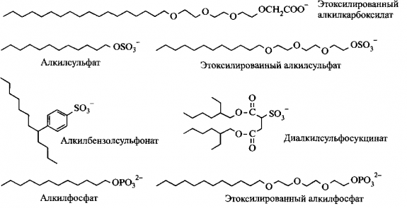
ПАВ

ПАВ -  это поверхностно-активные вещества, которые используются при бесконтактной мойке автомобиля. На профессиональных автомойках для их нанесения используют специальные устройства – пеногенераторы. ПАВ наносится в виде пены, похожей на слой снега. Так как ПАВ довольно агрессивное вещество, то работать лучше в защитной одежде, или защитить хотя бы глаза и руки.
Если Вы хотите использовать ПАВ с помощью своего бытового АВД, нужно приобрести специальную насадку (также подойдет для нанесения шампуня). Она недорогая и продаётся там же где и АВД. ПАВ Вы можете купить в нашем специализированном магазине автокосметики. У нас вы можете приобрести практически всё для мойки авто, экономя время. Не забывайте про специальные тряпки для мойки – обычной ветошью мыть машину не рекомендуется. Заодно следует приобрести салфетки или другой материал для полировки кузова, а также полировальные машинки.
Профессиональные ПАВ обычно находятся в неактивном состоянии в виде концентрата и для приведения их в действие надо тщательно взболтать емкость. ПАВ расходуется не быстро, и берите сначала 1л. Заливайте раствор в насадку, предварительно разбавив согласно инструкции, и наносите на автомобиль. Сначала, пока не наберётесь опыта, лучше наносить ПАВ на небольшие участки кузова, чтобы раствор не успевал высохнуть, так как после этого на лакокрасочном покрытии могут остаться трудноудаляемые белёсые пятна. Подождав немного, не допуская высыхания, смывайте всё водой под давлением, тщательно удаляя остатки ПАВ.
Здесь, ещё раз повторю, нельзя допускать высыхания раствора на поверхности кузова, поэтому проводить работу лучше постепенно на небольших участках. Как Вы уже догадались, этот процесс требует времени. После такой тщательной мойки автомобиль становится действительно чистым. Но ПАВ – активное вещество, которое удаляет с поверхности следы некачественного полировочного материала, поэтому желательно провести повторную защитную полировку кузова.